进展1

研究团队在环境与生态领域期刊《Journal of Cleaner Production》发表题为“Soil organic carbon stock in China’s tea plantations and their great potential of carbon sequestration”(我国茶园土壤有机碳储量及其巨大的碳汇潜力)的研究论文。王丹博士为该论文第一作者,杨万勤教授为通讯作者。
土壤在全球碳循环过程中起着重要作用。土壤有机碳储量随地理环境、气候变化和人类活动的影响产生变化。作为茶叶种植(占全球70%)和产量(40%)大国,我国茶叶种植面积逐年增加,且茶园土壤面临着严重的退化问题,但少有研究关注茶园土壤有机碳储量及其影响因素。本文通过收集322篇研究文献的1723组数据,估算了我国茶园土壤有机碳储量及其时空变化和影响因素。研究结果表明我国茶园土壤有机碳储量为207.13 Tg,其中124.58 Tg贮存于0-20cm的表层土壤中。茶园土壤有机碳平均密度为59.17 Mg ha-1,范围为0.9 - 589.54 Mg ha-1,表现出巨大的碳汇潜力。茶园土壤有机碳储量表现出明显的三向地带性和显著的种植区之间的差异。另外,茶园土壤有机碳储量明显受到土壤类型和管理方式的影响。茶园土壤有机碳储量与土壤pH和氮磷钾营养元素含量间有明显的相关性。同时,土壤有机碳储量随植茶年限的增加而增加。本文研究结果增加了对茶园土壤有机碳储量和影响因素的认识,为提高茶园土壤有机碳储量,缓解气候变化提供支撑。


图1 我国茶园分布和种植面积变化

图2 茶园土壤有机碳储量空间分布差异

图3 地理、气候因子和植茶年限对茶园土壤有机碳储量的影响

图4 土壤类型和养分含量对茶园土壤有机碳含量的影响
论文链接:https://www.sciencedirect.com/science/article/abs/pii/S0959652623026434?dgcid=coauthor
进展2
研究团队在土壤学领域期刊《Geoderma Regional》发表了题为“Zonal patterns and driving factors of soil organic carbon density in Zhejiang Province, China”(浙江省土壤有机碳密度空间变化和驱动因素)的研究论文。实验员李旭清为该论文第一作者,杨万勤教授为通讯作者。
浙江省作为中国经济最发达的地区,土地管理历史长久且密集,这导致了土壤有机碳密度在不同生态系统中空间分布模式以及驱动因子的异质性。本研究基于公开出版物构建了一个综合数据集,并利用该数据集分析了浙江省从2000年至2020年期间土壤有机碳的空间分布规律以及驱动因素。我们的主要结果表明,在浙江省,人为管理的土地类型的土壤有机碳密度要低于无管理的土地,进而推断出人为管理削弱了降水和气温对于土壤有机碳密度影响的结论。本研究对于土地管理应对全球气候变化的政策制定提供了支撑。

图1 不同管理土地类型SOCD的差异
(a)管理土地和非管理土地;(b)管理/非管理植被类型

图2 预测SOCD的驱动因素的随机森林模型排序
(a)管理土地;(b)非管理土地;(c)所有土地
论文链接:https://www.sciencedirect.com/science/article/pii/S2352009423000755
进展3

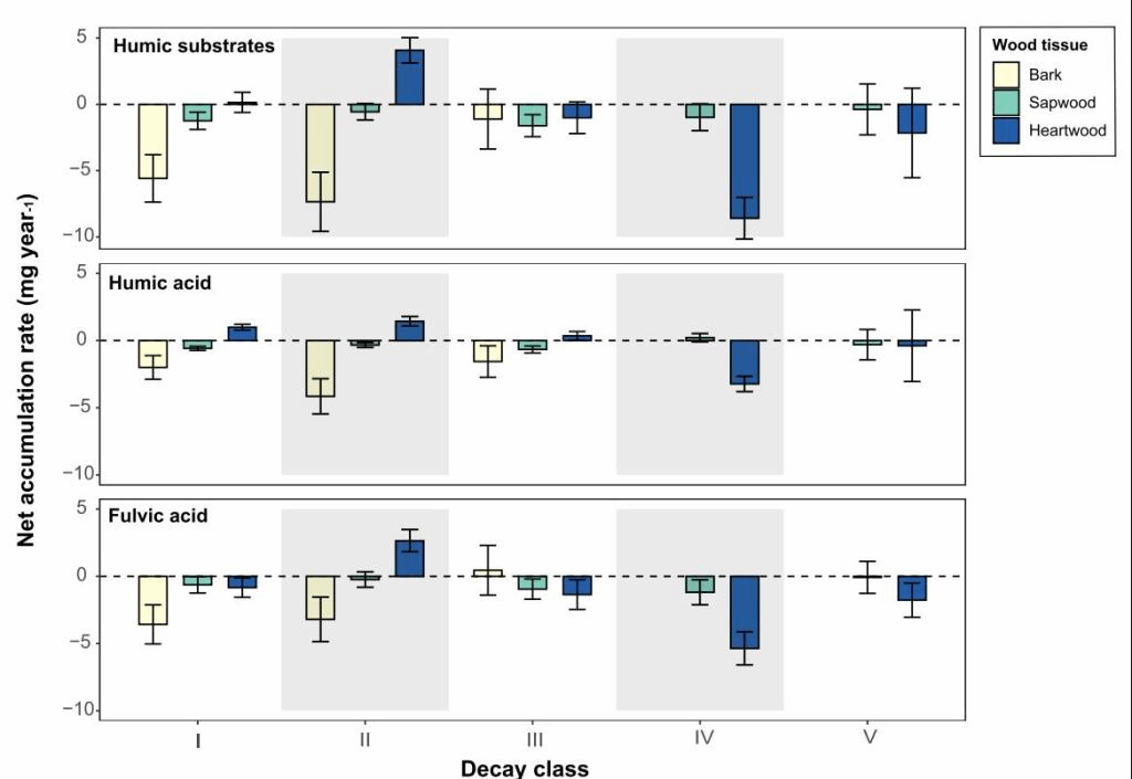
研究团队在土壤学领域期刊《Catena》发表了题为“Characteristics and intrinsic influencing factors of log humification depend on wood traits in a subalpine forest”(亚高山倒木的腐殖化特征和内在影响因素取决于倒木木质特性)的研究论文。王壮博士为该论文的第一作者,杨万勤教授为通讯作者。
倒木在生物多样性保育、涵养水源、森林更新以及森林碳和养分循环等方面发挥着十分重要的作用。倒木在森林生态系统中的储量巨大,其碳储量几乎是凋落物碳储量的两倍。倒木缓慢的分解速率和持续的碳和养分输入对土壤有机质的积累具有显著的积极作用。当前的研究强调倒木木质特性对倒木分解速率具有较强的影响,而对倒木腐殖化过程的影响缺乏必要的关注。亚高山森林生态系统自然干扰频繁,倒木储量较大,土壤较为贫瘠,研究该生态系统中倒木腐殖化特征及影响因素对理解倒木分解和土壤有机质的形成具有重要的意义。我们的研究表明,倒木树皮、边材和心材的腐殖化过程差异显著,且边材的腐殖化过程最长。倒木基质质量对树皮腐殖化过程的影响作用较小(解释度2-16%),对边材腐殖化有显著影响(解释度18-43%)。木质素含量和以N和P养分状况为主的养分状况是影响倒木腐殖化的主要因素。我们的研究证实了木质素来源的有机质对土壤有机质的形成具有重要作用,较高比例的倒木边材可能亚高山森林土壤有机质的形成和积累具有积极作用。

图1 不同腐解等级树皮、边材和心材腐殖质物质的积累速率

图2 基质质量对树皮、边材和心材腐殖化过程的影响
论文链接:https://doi.org/10.1016/j.catena.2022.106788
进展4

研究团队在环境与生态学领域期刊《Global Ecology and Conservation》发表了题为《Changes in soil bacterial communities and functional groups beneath coarse woody debris across a subalpine forest successional series》(粗木质残体下土壤细菌群落和功能随亚高山森林演替的变化)的研究论文。王芝慧博士为该论文的第一作者,杨万勤教授为通讯作者。
粗木质残体作为森林生态系统的基本组成之一,在保育土壤微生物多样性方面具有重要的功能。次生演替的发生使森林处于不同演替状态,导致粗木质残体的腐烂等级和径级丰富多样,使其孕育的细菌群落和功能类群也随之发生变化,但尚为得到充分研究。因此,本文基于川西亚高山天然次级演替森林平台,选取6个(高灌林、阔叶林、混交林、中龄林、成熟林和过熟林)处于不同演替阶段的森林,分析不同腐烂等级和径级的粗木质残体下土壤细菌群落组成和功能类群差异。研究发现,森林演替和粗木质残体腐烂等级显著改变土壤细菌群落结构,但在不同径级下变化不明显。土壤细菌群落α多样性随演替下降,在不同腐烂等级和径级下没有显著差异。群落组成方面,变形菌门和酸杆菌门是所有土壤中的优势类群,它们的相对丰度随着演替而变化。功能类群方面,化学异养和有氧化学异养是所有土壤中的优势功能类群;重要的是,固氮作用相关的群落和功能类群大量富集在更高腐烂等级的倒木下。相关性分析发现,土壤全氮含量和碳氮比是影响固氮相关细菌群落的关键负调控因子,而土壤温度正调控、粗木质残体储量负调控倒木下土壤细菌群落的组成和功能。综上所述,不同演替阶段森林中不同直径和腐烂程度的粗木质残体具有独特的细菌门和属,固氮菌与高度腐烂的倒木具有更高的关联性,可能表明森林生态系统中更长久的粗木质残体的存在可以刺激生态系统固氮。

图1 演替降低土壤细菌群落α多样性

图2 演替和腐烂程度改变土壤细菌群结构

图3 土壤温度和粗木质残体储量显著调控倒木下土壤细菌群落多样性、组成和功能
论文链接:https://www.sciencedirect.com/science/article/pii/S0341816222007743?via%3Dihub
进展5

研究团队在环境与生态学领域期刊《Frontiers in Ecology and Evolution》发表了题为“Seasonal dynamics of sediment organic carbon storage for the upper streams of the Yangtze River”(长江上游森林溪流沉积物有机碳储量的季节动态)的研究论文。侯建峰博士为该论文第一作者,杨万勤教授为通讯作者。
森林溪流中,90%的有机碳储存在沉积物中,在全球碳循环中起着至关重要的作用。虽然森林溪流广泛分布在不同的森林区域,但森林沉积物有机碳的季节动态尚未得到充分研究。本文在四川长江上游亚高山针叶林流域,选取15个代表性森林溪流,对其水体沉积物中0-5 cm的有机碳进行了5个关键时期的采样,并分别为融雪期、生长季早期、生长期、生长季后期和季节性雪被期进行了为期一年的调查,并采用重铬酸钾外加热法测定其有机碳浓度。结果发现在为期一年的调查中,15条河流在5个关键时期的沉积物有机碳浓度范围为6.39 ~ 458.93 g kg- 1,平均值为4.56 g kg- 1。相应的,其有机碳储量在2.05 ~ 310.56 kg m−2之间,平均值为46.03 kg m−2。各溪流的最大和最小有机碳储量分别在生长季后期和融雪季。各溪流上游、中游和下游沉积物有机碳储量分别为1.31 ~ 218.05、1.29 ~ 182.64和0.99 ~ 190.38 kg m−2,平均值分别为39.36、36.58和37.93 kg m−2。在5个关键时期,上游和下游碳储量的平均比值在0.10 ~ 6.31之间,平均为1.43,这表明森林水体沉积物可能具有重要的碳源作用。此外,通过回归分析发现,季节变化主要受降水、温度、沉积物深度和凋落物碳输入共同调控。这些发现表明,森林河流成分可能在亚高山森林及其邻近河流的碳地球化学循环中起着至关重要的作用。

图1 内陆水生系统在全球碳平衡中作用的简化示意图

图2 长江上游亚高山森林河流沉积物中有机碳浓度的动态变
LGS、SSC、SMS、EGS和GS表示采样期,即生长后期(LGS: 9 ~ 10月)、季节性雪被期(SSC: 11 ~次年4月)、融雪期(SSC: 4 ~ 5月)、生长早期(EGS: 5 ~ 6月)和生长季(GS: 7 ~ 8月)。纵坐标的值是在此期间15条溪流的累积值。不同的小写字母表示不同时期之间的显著差异(p<0.05),相同字母表示无显著差异。

图3 长江上游亚高山森林河流沉积物有机碳储量动态

图4 长江上游亚高山森林河流沉积物有机碳储量动态

图5 长江上游亚高山森林溪流上下游沉积物有机碳储量比值
论文链接:https://www.frontiersin.org/articles/10.3389/fevo.2023.1093448/full